Quantcast
Channel: Study Rankers
Viewing all articles
Browse latest Browse all 6345

R.D. Sharma Solutions Class 10th: Ch 5 Trigonometric Ratios Exercise 5.1

$
0
0

Chapter 5 Trigonometric Ratios R.D. Sharma Solutions for Class 10th Math Exercise 5.1

Exercise 5.1

1. In each of the following one of the six trigonometric ratios is given. Find the values of the other trigonometric ratios. 

(i) sinA = 2/3 

Solution

 

(ii) cosA = 4/5

Solution


(iii) tanθ = 11 

Solution 


(iv)  Sinθ = 11/5

Solution


(v) tanα = 5/12 

Solution


(vi) Sinθ = √3/2 

Solution


(vii) Cosθ = 7/25

Solution


(viii) tanθ = 8/15  

Solution


(ix) cotθ = 12/5  

Solution            


 (x) secθ = 13/5 

Solution


(xi) cosecθ = √10 

Solution


(xii) cosecθ = 12/5

Solution


2. In a ∆ABC, right angled at B, AB = 24 cm, BC = 7 cm. Determine
(i) Sin A, Cos A
(ii) Sin C, cos C 

Solution


3. In Fig below, Find tan P and cot R. Is tan P = cot R ?

Solution


4. If sinA = 9/41, compute cosA and tanA.

Solution

   

5. Given 15 cot A = 8, find SinA and SecA . 

Solution


6. In ∆PQR, right angled at Q, PQ = 4 cm and RQ = 3 cm. Find the values of sin P, sin R, sec P and sec R. 

Solution



7. If cot θ = 7/8 , evaluate :
(i) (1+sinθ)(1-sinθ)/(1+cosθ)(1-cosθ)
(ii) cot2θ  

Solution
(i)

(ii)

8. If 3 cot A = 4, check whether 1-tan2 A/1+tan2 A = cos2 A - sin2 A or not.

Solution


9. If tan θ = a/b , find the value of cosθ + sinθ/cosθ - sinθ 

Solution


10. If 3 tan θ = 4 , find the value of 4cosθ - sinθ/2cosθ + sinθ 

Solution


11. If 3 cot θ = 2 , find the value of 4 sinθ - 3 cosθ/2 sinθ + 6 cosθ  

Solution


12. If tan θ = a/b , prove that a sin θ - b cos θ/a sin θ + b cos θ = a2 - b2/a2 + b2 . 

Solution



13. If sec θ = 13/5, show that 2cos θ - 3cos θ/4sin θ - 9cos θ = 3. 

Solution  


14. If cos θ = 12/13, show that sin θ (1 - tan θ) = 35/156 . 

Solution


15. If cot θ = 1/√3 , show that  1- cos2  θ/2 - sin2 θ = 3/5 .  

Solution


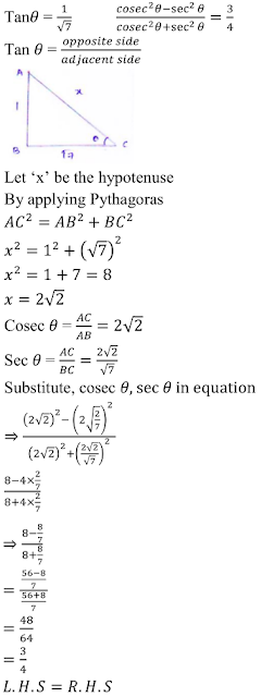
16. If tan θ = 1/√7 cosec2 θ - sec2  θ/cosec2 θ + sec2  θ = 3/4 .  

Solution 


17. If Sec θ = 5/4 , find the value of sin θ - 2 cos θ/ tan θ - cot θ 

Solution


18. If tan θ = 12/13, find the value of 2 sin θ cosθ/cos2 θ - sinθ

Solution



19. If cos θ = 3/5 , find the value of sinθ - (1/tanθ)/2 tan θ 

Solution


20. If sin θ = 3/5 , evaluate cosθ - (1/tanθ)/2 cot θ 

Solution



21. If tan θ = 24/7 , find that sin θ + cos  θ 

Solution



22. If sin θ = a/b , find sec θ + tan θ in terms of a and b . 

Solution


23. If 8 tan A = 15, find sin A - cos A .  

Solution



24. If tan θ = 20/21, show that 1-sin θ + cos θ/1+ sin θ + cos θ = 3/7  .

Solution


25 . If cosec A = 2 find 1/Tan A + sin A/1+cos A  

Solution


26. If ∠A and ∠B are acute angles such that cos A = cos B, then show that ∠A = ∠B.

Solution


27. In a ∆ABC, right angled at A, if tan C = √3, find the value of sin B cos C + cos B sin C.

Solution


28. State whether the following are true or false. Justify your answer.
(i) The value of tan A is always less than 1.
(ii) Sec A = 12/5 for some value of angle A.
(iii) Cos A is the abbreviation used for the cosecant of angle A.
(iv) Sin θ = 4/3 for some angle θ . 


Solution



29. If sin θ = 12/13 find sin2θ - cos2θ/2 sinθ cosθ × 1 tan2θ  .

Solution


30. If cos θ = 5/13 find sin2θ - cos2θ/2 sinθ cosθ × 1 tan2θ .

Solution



31.  If sec A = 5/4, verify that 3 sinA - 4 sin3A/4 cos3 A - 3 cosA = 3 tan A - tan3 A /1 - 3 tan2A  .

Solution



32. 

Solution


33. If sec A = 17/8 , verify that 3-4 sin2 A/4 cos2 A-3 = 3-tan2 A/1-3 tan2 A.  

Solution 


34. 

Solution


35. If  3 cos θ - 4 sin θ = 2 cos θ + sin θ, find tan θ.  

Solution


36. If ∠A and ∠P are acute angles such that tan A = P, then show that ∠A = ∠P. 

Solution


Viewing all articles
Browse latest Browse all 6345

Trending Articles



<script src="https://jsc.adskeeper.com/r/s/rssing.com.1596347.js" async> </script>